在深基坑工程中,锚索预应力损失会引起桩—锚支护体系发生较大变形,而降雨诱发的土体强度劣化则显著提高基坑失稳风险。以山东某核电厂深基坑为研究对象,综合分析了锚索预应力损失与土体劣化对基坑变形及稳定性的耦合影响。采用强度折减法模拟降雨引起的土体强度劣化,通过有限元软件分析不同土体强度折减率下,锚索预应力损失对深基坑变形与稳定性的影响。结果表明:锚索预应力损失主要集中在骤降与波动阶段,两阶段合计占总损失的97%,是基坑变形控制的关键期;当土体强度折减率超过20%临界值时,基坑水平位移显著增大,塑性区由填土层坡脚向坡顶贯通扩展;同时土体劣化显著增强了锚索预应力的损失效应,使基坑塑性区呈非线性扩展特征,其中预应力骤降阶段引起的塑性区面积增量最大;基坑安全系数由土体强度折减率主导,随其增大呈线性递减趋势。
In deep excavation engineering,the prestress loss of anchor cable can lead to significant deformation of the pile-anchor support system,while rainfall-induced degradation of soil strength markedly increases the risk of foundation pit instability. Taking the deep excavation project of a nuclear power plant in Shandong as the research object, this study comprehensively analyzed the coupled effects of prestress loss and soil strength degradation on the deformation and stability of foundation pit. The strength reduction method was employed to simulate the degrada⁃tion of soil strength caused by rainfall. Finite element simulations were conducted to investigate the influence of an⁃chor cable prestress loss on the deformation and stability of deep foundation pit under different soil strength reduc⁃tion rates. The results indicate that the prestress loss of anchor cable is mainly concentrated in the abrupt drop and fluctuation stages,and the two stages account for 97 % of the total loss,which is the key period for foundation pit deformation control. When the soil strength reduction ratio exceeds the threshold of 20%,the horizontal displace⁃ment of the foundation pit increases significantly,and the plastic zone extends nonlinearly from the toe to the crest of the fill slope. Meanwhile,soil degradation markedly amplifies the loss effect of anchor cable prestress,which makes the plastic zone of foundation pit show nonlinear expansion characteristics,with the abrupt drop stage con⁃tributing the largest increase in the plastic zone area. The safety factor of foundation pit is primarily governed by the soil strength reduction rate,exhibiting a linear decreasing trend with increasing reduction rate.
引言
桩—锚支护结构由支护桩与预应力锚索共同组成,因其受力合理、安全可靠,能够有效控制基坑 变形并满足工程安全要求,同时具备施工便捷和节省造价等显著经济优势,因此得以迅速发展并被广泛应用于深基坑工程中[1] 。锚索作为桩—锚支护结构的重要组成部分,其在服役过程中不可避免地出现预应力损失,该现象不仅直接削弱了锚索的支护能力,还对围岩稳定性及整体变形控制效果产生潜在影响[2] 。因此,研究锚索预应力损失对深基坑变形与稳定性的影响至关重要。
目前,众多学者通过现场试验,数值模拟等方法针对锚索预应力损失进行了深入研究。陈沅江等[3] 对锚索加固软岩边坡过程中瞬时与长期预应力损失进行了定量分析,并结合实测数据揭示了预应力损失的变化规律。李涛等[4] 通过室内模型试验,总结了膨胀土地层下锚索预应力损失规律,并指出初期预应力损失占总损失的80%。肖世国、邓益等[5] 提出锚索与岩土体蠕变耦合的串联模型,相较于传统的并联模型,该模型能更准确地反映实际工程中的预应力损失基质。Wang等[6] 基于H-K本构关系推导出H-3K锚索蠕变耦合模型,结果表明该模型能较好反映锚索在长期服役过程中的预应力损失特征。在基坑支护中,唐孟雄等[7] 通过实际工程监测数据发现,单根锚索的预应力损失率介于24.5%~53.4%之间。Xing等[8] 结合实测数据分析与有限元模拟,发现暴雨显著加剧了支护结构的水平位移与地表沉降响应。
另一方面,降雨通常会引发土体强度劣化,显著提升基坑失稳的风险。肖朝昀等[9] 通过现场监测发现,降雨会削弱残积土的强度与结构完整性,使基坑侧向变形与地表沉降的影响范围分别达到无降雨条件下的1.5倍与2.5倍。巩玉发等[10] 利用有限元分析方法研究暴雨工况下深基坑响应,结果表明暴雨会引起基坑及其支护结构发生显著变形。刘天任等[11] 基于CFD-DEM耦合数值模拟,研究了暴雨条件下沙土深基坑的变形特征,发现基坑内侧靠近支护区的土体出现剧烈隆起。 Wang等[12] 采用有限元数值模拟方法研究暴雨对基坑稳定性的影响,结果表明降雨导致基坑两侧边墙的水平位移急剧增加。Xiao等[13] 基于有限元模拟研究了降雨入渗条件下土体强度劣化对深基坑的影响,结果表明降雨显著削弱土体强度,增加支护结构的位移及基坑失稳的风险。
本文以山东某核电厂深基坑工程为研究对象,对其上部桩—锚支护结构中因岩土体蠕变引起的锚索预应力损失进行理论值推导,并结合降雨引起的土体强度劣化,采用有限元软件分析不同土体强度折减率下,锚索预应力损失对该基坑变形与稳定性的影响。
1 工程案例
1.1 工程概况
拟建核电厂主厂房位于山东海阳地区,夏季降水集中,尤其在7月至8月期间降雨强度大、频次高。频繁且强烈的降雨不仅显著改变地表及地下水文环境,还可能对土体的工程性质产生不利影响。
该主厂房采用筏形基础,基础平面尺寸为南北向75 m,东西向61 m,埋深为21.66 m。工程安全等级为一级,施工方式为明挖顺作法。基坑北侧距边缘约16.5 m处存在电厂构筑物,对变形控制具有严格要求,其余三侧无邻近建筑物约束。地层物理力学参数详见表1 。
表1 场地区域岩土层的物理力学参数Table 1 Physical and mechanical parameters of geotechnical layers in the site area
图1 基坑支护剖面图Fig.1 Sectional view of foundation pit support
1.2 支护设计
综合主厂房结构型式、场地地质与周边环境,兼顾深基坑经验、工期、施工与经济性,确定支护方案如下:上部采用钻孔灌注桩搭配两道预应力锚索,第二道锚索兼作锁脚锚索;灌注桩桩径1.0 m、间距1.8 m,桩端嵌入微风化岩2.0 m;锚索水平间距1.8 m、倾角15°、钻孔直径150 mm。下部区域采用坡比为1:0.2的放坡开挖方式,辅以五道锚杆进行支护,锚杆竖向与水平间距均为2.5 m、倾角15°、钻孔直径100 mm。为增强上部支护桩的嵌固效果,于桩前设置宽为2.5 m的岩肩平台。主厂房超深基坑支护剖面见图1 。
2 岩土体蠕变引起的预应力损失
锚索的变形与被加固岩土体的蠕变之间存在对应关系,并且两者相互影响:岩土体蠕变会改变锚索预应力,反之,预应力变化也会影响岩土体蠕变量。说明岩土体的蠕变过程与锚索的预应力变化之间存在耦合效应。
2.1 耦合模型
为描述上述锚索预应力损失与岩体蠕变耦合过程,选取王清标等[14] 所提出的锚杆松弛与岩体蠕变耦合预应力损失模型,即H-K蠕变耦合模型进行理论值求解。
图2 H-K蠕变耦合模型Fig.2 H-K creep coupling model
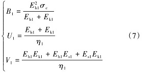
图中σ、σk 、σs 分别为总应力、岩体的应力和锚索的应力,ε、εk 、εs 分别为总应变、岩体的应变和锚索的应变,Eh1 为岩体的瞬时弹性模量,Ek1 为滞后弹性模量,η1 为黏滞系数,Es1 为锚索体的等效弹性模量。
在该模型中,用弹性模型(H体)模拟锚索,利用广义开尔文模型模拟岩土,并通过并联方式考虑岩体蠕变与锚杆预应力损失耦合效应。岩体的广义开尔文模型本构方程为:结合锚索与岩体的耦合效应:
可得该耦合模型的本构方程为:
为简化计算,假定岩石为各向同性的均质性试件,则锚索弹性模量表示为:
式(4)中:E1 为锚索体实际的弹性模量;Ap 为锚索体的面积;Ar 为锚索有效锚固范围内岩体的面积。
2.2 松弛方程
当ε=εc =const,初始应变εc 为t=0时刻施加于模型的常应变,此时岩体瞬时完成弹性变形。当t=0时,计算公式如下:
σ=ε c ( E h1 + E s1 )(5)
将式子带入式(3)可得:
式(6)为锚索和岩土耦合模型的应力松弛方程,表征初始应变εc 作用下,锚索预应力的应力衰减过程,参数B₁、U₁、V₁定义如下:
因此,锚索的应力F等于作用在坡体上的总应力和,即F=σ·Ar 。
2.3 模型求解
通过山东海阳某核岛区设计阶段岩土工程勘察报告可知,中风化岩土层主要由粉砂岩、页岩组成,微风化岩土层主要由粉砂岩、细砂岩、页岩组成。因此,相关的土体流变参数取值参照文献[15]~[18],具体流变参数见表2 。
表2 深基坑岩石流变参数Table 2 Rheological parameters of rock in deep foundation pit
因此可以通过耦合模型求解出相应的参数,在第一层锚索中,锚索锚固段主要嵌入中风化岩,将流变参数带入耦合模型,求解出B1 、U1 、V1 分别为0.0210、0.0251、11.6901。得到第一层锚索锚固力的损失公式为:
σ=0.0210exp (-0.0251 t )+ 0.0456(8)
同理,第二层锚索锚固段主要嵌入微风化岩石,求解得出B1 、U1 、V1 分别为0.0139、0.0327、23.853。得第二层锚索的损失公式为:
σ=0.0139exp (-0.0327 t )+ 0.0539(9)
由图3 可知,锚索预应力损失过程主要可划分为三个阶段:骤降阶段、波动阶段和平稳阶段。与实际锚索预应力变化趋势基本一致。张拉锁定后0~50 h为骤降阶段,两层锚索分别损失45.182 kN和33.891 kN,分别占施加荷载的22.591%和16.946%。50~150 h为波动阶段,损失分别为16.767 kN和7.191 kN,占施加荷载的8.384%和3.596%。
平稳阶段持续时间较长,损失增长缓慢,总增量通常不超过5 kN。至500 h,两层锚索累计损失分别达63.466 kN和41.785 kN,其中骤降与波动阶段合计约占总损失的97%,表明预应力损失主要集中在前两阶段。
图3 两道锚索预应力损失H-K蠕变模型理论解Fig.3 Theoretical solution of H-K creep model for prestress loss in double-tendon anchorage
3 数值模拟
3.1 模型建立
本文采用有限元软件建立数值模型,设置水平影响范围为基坑深度的两倍,垂向则延伸至基地以下20 m,以微风化岩层作为下部边界。模型的尺寸以及网格划分情况如下图4 。
场地基坑底部岩层较厚,土体假定为均质、各向同性的弹塑性材料,采用摩尔—库仑弹塑性本构模型,参数取自表1 ;桩与冠梁材料设为各向同性,桩采用pile单元模拟,材料参数按C30混凝土设置;锚索与锚杆模拟为理想弹性体,采用cable单元,材料参数按钢材设置。各部件主要参数见表3 。
图4 基坑模型以网格划分情况Fig.4 Mesh division status of foundation pit model
表3 各部件主要参数Table 3 Main parameters of components
边界条件设置如下:模型左右边界施加水平位移约束,底部施加固定约束;在填土层坡顶后10 m范围内施加40 kPa的表面超载。
3.2 工况设置
锚索预应力损失分为三阶段,平稳阶段的变化幅度极小。因此本文选取张拉锁定后50 h、150 h、500 h分别作为骤降、波动、平稳阶段的结束时刻,并与初始状态进行对比。三个时刻对应的预应力损失率为:50 h时两道锚索分别为22.60%和16.68%;150 h时分别为30.87%和20.15%;500 h时分别为31.74%和20.89%。
文献[19]~[22]指出,降雨渗透会提高孔隙水压力、削弱有效应力,从而使抗剪强度降低。依据莫尔—库仑强度准则,强度衰减主要表现为粘聚力(c)和内摩擦角(φ)两个强度指标的下降,对基坑稳定性构成威胁。为合理模拟降雨对基坑土体强度的削弱作用,本文采用强度折减法,设置土体强度折减率分别为0%、10%、20%和30%,分析锚索在不同预应力损失阶段(初始、骤降、波动、平稳)下,深基坑的变形与稳定性影响。
4 计算结果分析
4.1 基坑水平位移的影响规律
图5 为不同土体强度折减率(0%、10%、20%、30%)与锚索处于初始、骤降、波动、平稳四阶段时的基坑水平位移演化。随预应力由初始向平稳推进,位移在各折减率下均呈单峰变化:初始最小、骤降阶段突增、波动阶段持续增长、平稳阶段达到峰值。峰值位于填土层,深度约0.71 m,且随强度折减率升高显著增大。位移沿深度呈分层特征:浅层增幅显著、深层增幅较缓,变形主要集中在填土层与强风化层;中风化与微风化层因弹性模量较大,位移变化较小。
图5 锚索不同预应力阶索对基坑水平位移的影响Fig.5 Influence of different prestressed anchor cables on the horizontal displacement of foundation pit
当强度折减率处于0%~20%时,最大水平位移的增幅主要出现在桩顶后方土体。折减率由0%增至20%时,峰值位移均出现在平稳阶段,由6.89 mm增至9.42 mm,增幅26.85%。折减率升至30%后,位移急剧增大,最大增幅位置转移至填土层;即使未发生预应力损失,位移也迅速增至756 mm,远超20 mm预警阈值。随后,初始至骤降阶段,最大位移增至862 mm,增幅14%;骤降至波动阶段增长62 mm,增幅7.2%,较前一阶段增长速率已放缓;波动至平稳阶段仅增22 mm,增幅2.3%。在土体强度显著衰减条件下,预应力损失效应被放大,高折减率下各阶段变形差异更为突出。并且,位移的主要增幅来自骤降阶段,其次为波动阶段。
4.2 基坑地表沉降的影响规律
图6 为不同土体强度折减率(0%、10%、20%、30%)与锚索处于初始、骤降、波动、平稳四阶段条件下的地表沉降分布。可见,在距桩0~20 m范围内,各工况沉降曲线普遍呈“U”型。土体强度折减率为0%、10%、20%时,四阶段曲线空间分布几乎重合,说明在土体抗剪强度基本保持时,锚索由初始至平稳阶段的预应力损失对整体沉降形态与幅值影响较小。最大沉降集中于基坑边缘附近,约2~4 m处;当折减率由0%增至20%时,最大沉降值由12.2 mm增至12.8 mm,增幅5%,且距桩11 m外沉降迅速减小,表明基坑附加影响在远场显著衰减。
折减率升至30%后,沉降曲线由“U”型转为“V”型,地表沉降出现集中分布现象,峰值位置距桩约2.71 m,沉降量从12.8 mm骤升至605 mm。并且,锚索预应力处于不同阶段会对沉降量幅值产生影响,从初始到骤降阶段,地表沉降变化量最大,骤降到波动阶段次之,最终峰值出现在预应力平稳阶段。当强降雨导致土体强度发生显著劣化时,应重点关注桩后2.7 m范围内的沉降区域,不宜有人员走动以及布置大型作业器械。
图6 锚索不同预应力阶对地表沉降的影响Fig.6 Influence of different prestress levels of anchor cables on surface settlement
4.3 基坑塑性区的影响规律
图7 为不同土体强度折减率(0%、10%、20%、30%)与锚索处于初始、骤降、波动、平稳四阶段条件下的塑性区面积分布。总体上,塑性区规模与强度折减率正相关。折减率为0%和10%时,塑性区面积基本稳定在17 m²,锚索所处阶段对面积影响甚微,说明在强度储备充足时,预应力波动对塑性变形的驱动作用有限。折减率为20%与30%时,塑性区面积随折减率呈阶梯式扩张,扩展速率与规模显著高于低折减率工况,表明土体强度劣化会放大由预应力损失引起的塑性变形效应。
同时,骤降阶段是塑性区扩展的关键控制阶段。在折减率为20%与30%工况下,该阶段的面积增幅最大;进入波动与平稳阶段后,增幅趋缓,系统逐步形成新的平衡,塑性区由突发式扩展转为渐进式累积。低折减率条件下,岩土体通过弹性变形与局部塑性即可维持应力平衡;高折减率工况下,抗剪强度逼近临界,预应力损失触发塑性区的动态扩展,塑性区面积与预应力损失呈明显的非线性增长趋势。
图8 ~图 11 为不同土体强度折减率与锚索处于不同阶段下基坑侧壁及周边土体的塑性区分布。随折减率提高,塑性区范围持续扩大,主要分布于桩后强风化层与填土层;微风化岩层有效抑制了塑性区下延。预应力损失对塑性区整体范围的影响相对较小。折减率为0%与10%时(图8 、图9 ),塑性区主要出现在锚索之间的强风化与中风化带,预应力从初始到平稳的损失仅使填土层坡脚略有外扩,表明在强度较完整时仍能有效抑制屈服。折减率为20%时(图 10 ),塑性区明显扩大,除桩后强风化与中风化带外,填土层坡脚至坡顶逐步连片,且随预应力损失在桩后区域继续外展,反映出锚索对屈服的遏制能力下降。折减率为30%的极限工况下(图 11 ),塑性区贯通坑壁并覆盖填土层坡顶至坡脚,说明强度接近极限时,即便无预应力损失也难以阻止大范围塑性破坏,基坑支护系统失去控制效果。
图7 不同土体强度折减率以及锚索不同预应力阶段下基坑塑性区分布曲线Fig.7 Plastic zone curves for foundation pits under varying soil strength reduction and anchor prestress stages
4.4 基坑安全系数的影响规律
图 12 表明,在相同土体强度折减率条件下,不同锚索预应力阶段的安全系数基本不变。折减率为0%时,安全系数稳定在3.05,初始、骤降、波动、平稳四阶段曲线近乎水平;折减率为10%、20%、30%时,安全系数分别为2.65、2.35、2.05,各阶段内亦无明显波动。说明预应力阶段转换对安全系数影响可忽略,主控因素为土体强度折减率。
安全系数随折减率增加呈近似线性递减。折减率由0%提升至30%时,安全系数由3.05降至2.05,累计下降1.00,降幅32.78%,二者呈负相关。依据桩锚支护相关规范,安全系数大于1.35可判定整体不发生滑移失稳,因此在上述折减率范围内总体稳定性满足要求。但随强度进一步衰减,安全储备明显缩减,失稳风险上升。工程实践中应加强监测与控制,尤其在高折减率工况下,填土层坡顶附近已出现滑移与沉降迹象,应划定警戒区,限制人员通行并暂停大型设备作业,以确保安全。
图8 无土体强度折减下锚索不同阶段对塑性区影响云图Fig.8 Cloud map of influence of anchor cables on plastic zone at different stages without soil strength reduction
图9 土体强度折减率10%下锚索不同阶段对塑性区影响云图Fig.9 Cloud map of the influence of anchor cables on plastic zone at different stages under 10% soil strength reduction rate
图 10 土体强度折减率20%下锚索不同阶段对塑性区影响云图Fig.10 Cloud map of the influence of anchor cables on plastic zone at different stages under 20% strength reduction rate
图 11 土体强度折减率30%下锚索不同阶段对塑性区影响云图Fig.11 Cloud map of the influence of anchor cables on plastic zone at different stages under 30% strength reduction rate
图 12 不同土体强度折减率以及锚索不同预应力阶段下基坑安全系数分布曲线Fig.12 Safety factor distribution under varying soil strength reduction and anchor prestress stages
5 结论
(1)该基坑锚索预应力损失呈现三个阶段:骤降阶段、波动阶段、平稳阶段。其中骤降与波动阶段贡献总损失的97%,对基坑的变形影响在这两个阶段最为显著,是变形控制的关键期。
(2)当土体强度折减率超过20%时,基坑变形显著增加,水平位移远超预警值,地表沉降由“U”型转为“V”型集中分布。塑性区从中风化岩层向上部土层快速扩展,在填土层坡脚—坡顶形成连续贯通带,但受微风化岩层阻隔未向下延伸。
(3)土体强度在高折减率下,会显著放大锚索预应力的损失效应,表现为塑性区呈非线性扩展。该基坑安全系数由土体强度折减率主导,随其增大呈线性递减规律。
表1 场地区域岩土层的物理力学参数Table 1 Physical and mechanical parameters of geotechnical layers in the site area 图1 基坑支护剖面图Fig.1 Sectional view of foundation pit support 图2 H-K蠕变耦合模型Fig.2 H-K creep coupling model 表2 深基坑岩石流变参数Table 2 Rheological parameters of rock in deep foundation pit 图3 两道锚索预应力损失H-K蠕变模型理论解Fig.3 Theoretical solution of H-K creep model for prestress loss in double-tendon anchorage 图4 基坑模型以网格划分情况Fig.4 Mesh division status of foundation pit model 表3 各部件主要参数Table 3 Main parameters of components 图5 锚索不同预应力阶索对基坑水平位移的影响Fig.5 Influence of different prestressed anchor cables on the horizontal displacement of foundation pit 图6 锚索不同预应力阶对地表沉降的影响Fig.6 Influence of different prestress levels of anchor cables on surface settlement 图7 不同土体强度折减率以及锚索不同预应力阶段下基坑塑性区分布曲线Fig.7 Plastic zone curves for foundation pits under varying soil strength reduction and anchor prestress stages 图8 无土体强度折减下锚索不同阶段对塑性区影响云图Fig.8 Cloud map of influence of anchor cables on plastic zone at different stages without soil strength reduction 图9 土体强度折减率10%下锚索不同阶段对塑性区影响云图Fig.9 Cloud map of the influence of anchor cables on plastic zone at different stages under 10% soil strength reduction rate 图10 土体强度折减率20%下锚索不同阶段对塑性区影响云图Fig.10 Cloud map of the influence of anchor cables on plastic zone at different stages under 20% strength reduction rate 图11 土体强度折减率30%下锚索不同阶段对塑性区影响云图Fig.11 Cloud map of the influence of anchor cables on plastic zone at different stages under 30% strength reduction rate 图12 不同土体强度折减率以及锚索不同预应力阶段下基坑安全系数分布曲线Fig.12 Safety factor distribution under varying soil strength reduction and anchor prestress stages