2.1 f0分布
在分析所有测点的HVSR曲线后,得到了基阶频率(f0)及其峰值振幅(A0),如图5所示。f0和A0高低值的分界线与研究区断层的位置基本一致。这表明,断裂在研究区在控制近地表结构的形成演化中中起着重要作用。f0主要分布在0.7~8.0 Hz之间,其空间分布具有明显的分区性,与研究区域的地形和地表地质状况吻合良好。北部、中部和东南部地区等山区,超过4.5 Hz,表明松散沉积物覆盖较薄。相比之下,研究区域的南部,包括珠江三角洲平原,呈现出低于3 Hz的f0值,暗示存在更厚的松散沉积物层。值得注意的是位于南部的珠三角平原存在明显的低异常区,异常区中f0值在0.5~1.5 Hz之间,形成若干明显的弯曲条带,表明存在带状的相对较厚的沉积层。Xiong等[21]认为这是珠三角埋藏的晚更新世古河道。
A0值大部分落在3~12范围内,并与f0呈负相关。尽管A0与研究区域的表面地质一致,但普遍认为HVSR的峰值幅度低估了场地放大效应[16]。因此,我们在后续讨论中不再讨论该参数。
2.2 VS30
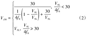
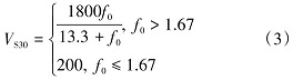
在工程地质学领域,快速且有效地估算VS30对于地震区划、地面运动预测方程和建筑规范等多个方面至关重要。然而,针对粤港澳大湾区的VS30详细研究尚未开展。先前的研究发现,可以通过基于场地基频的经验关系来估算VS30[13]。在本研究中,我们应用公式(2)来估算研究区域内的VS30。根据钻探[24]和地震成像结果[25],我们将VSL设定为200 m/s,VSb设定为1800 m/s。因此,公式(2)可以简化为:
图4展示了公式(3)和其他地区使用的经验关系。这些关系之间总体有很好的相似性,但大多数其他地区相比,公式(3)在低于3 Hz时产生较低的VS30值,在高于4 Hz时产生较高的VS30值。这主要是因为粤港澳大湾区存在厚度小于50米的松散沉积层覆盖,松散层下伏坚硬的基岩,这种地质结构与波士顿地区观察到的情况相似[23],这解释了本研究中使用的经验关系与波士顿地区所用关系之间的相似性。
图4b展示了研究区域内VS30的分布情况。根据NEHRP指南[26],所有测点被分类为四种场地类型。总体而言,研究区VS30空间分异显著,揭示了松散沉积与基岩出露区的地质差异。VS30值低于360 m/s的区域在研究区内占据主导地位,特别是在珠江三角洲(PRD)平原基本小于360 m/s。相反,较高的VS30值(>360 m/s)主要分布在帽峰山、白云山、番禺台地、大岭山及山麓地区。
图4 研究区基阶频率(a)和峰值振幅(b)的分布Fig.4 Distribution of fundamental frequencies(a)and peak amplitude(b)across the study area.
公式(2)中VS30值依赖于VSL和VSb值的设定。为了评估公式(2)中VSL和VSb值对VS30结果的影响,我们通过设定不同的VSL和VSb来分析VS30值。
根据钻孔结果,珠三角沉积层的平均速度在100~300 m/s之间。本文首先将VSb固定为1800 m/s,分别使用150、200、250和300 m/s的VSL值,进行VS30了敏感性分析(图5a)。可以观察到,不同的VSL值对基阶频率小于2 Hz的场地VS30结果影响较大,而对超过2 Hz的场地影响则较小。将这4个不同的VSL值用于计算每个站点的VS30,每个站点可以得到4个VS30值,将4个VS30值的标准差作为该点VS30值的不确定性(图5b)。可以看到,大多数区域的VS30不确定性低于20 m/s,表明沉积层的平均速度在150~300 m/s之间取值对大部分地区的影响不大。而在古河道区域的不确定性达到了40~50 m/s,因此在评估古河道地区的VS30时应更为慎重,需结合更多钻孔数据进行约束。
然后,本文将VSL固定为200 m/s,分别使用1500、1650、1800、1950和2100 m/s的VSb值,进行VS30了敏感性分析(图5a)。可以观察到,不同的VSb值对场地VS30结果的影响较小,尤其在6 Hz以下,VS30偏差在50 m/s以下。将这5个不同的VSb值用于计算每个站点的VS30,则每个站点可以得到5个VS30值,将5个VS30值的标准差作为该点VS30值的不确定性(图5b)。可以看到,大多数区域的VS30不确定性低于10 m/s,仅极少数地区超过30 m/s,这表明基岩的剪切波速度在1500~2100 m/s之间取值对大部分地区的影响不大。在估算VS30值时,更应注意的是沉积层平均剪切波速度的取值。
图5 不同地区VS30估算经验关系的比较(a)和研究区域内VS30的分布(b) Fig.5 Comparison of empirical relationships for VS30 estimation in different regions(a)and distribution of VS30 across the study area(b)
图6 VSL值为150、200、250和300 m/s时,VS30与f0之间的预期关系(a)及VS30的不确定性地图(b) Fig.6 Expected relationship between VS30 and f0 for VSL values of 150,200,250,and 300 m/s(a)and uncertainty map for VS3(0 b)
图7 VSb值为1500、1650、1800、1900和2100 m/s时,VS30与f0之间的预期关系(a)及VS30的不确定性地图(b) Fig.7 Expected relationship between VS30 and f0 for VSb values of 1500、1650、1800、1900 and 2100 m/s(a) and uncertainty map for VS3(0 b)